Cosinus Berechnen Ohne Taschenrechner

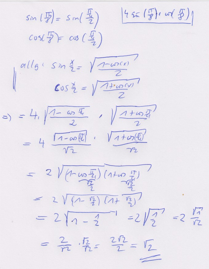
Sin Pi 8 Ohne Taschenrechner Berechnen Mathelounge

Sinuswerte Ohne Taschenrechner Ermitteln Mathematik Sinus

Sinus Kosinus Tangens Im Dreieck Ubungen Und Aufgaben Mit

Der Versteckte Komplexe Taschenrechner Des Iphones

Satz Des Pythagoras Winkel Berechnen